个人随想
fly97's Blogs
首页
标签
归档
站点地图
搜索
Theme NexT works best with JavaScript enabled
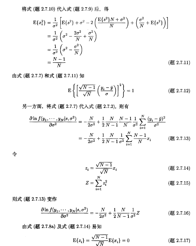
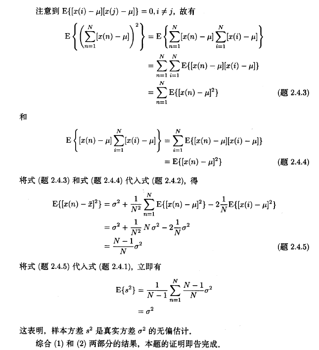
现代信号分析第二章作业
发表于
2020-10-11
摘要:
此系列文章是我从2020年9月21日开始在浙江理工大学读研一时《现代信号分析》课后作业练习题及答案。
关键词:
研一,现代信号分析